Schnittpunkt Berechnen Quadratische Funktion | Die formeln werden nur mit aktiviertem javascript korrekt dargestellt. Die graphen von zwei quadratischen funktionen können zwei, einen oder gar keinen schnittpunkt haben. Schnittpunkte von funktionen berechnen leicht erklärt mit beispielen, grafiken und aufgaben zum üben. Beobachte dabei die veränderung des funktionsterms 6. Übungsaufgaben mit lösung und vid.

In diesem kapitel schauen wir uns an, wie man die nullstellen einer quadratischen funktion berechnet. Eine reelle quadratische funktion ist eine reelle funktion, deren zuordnungsvorschrift vom. Die videos auf yt haben auch nichts gebracht. Als letztes zum thema quadratische funktionen geht es um die schnittpunkte 2er parabeln und wie man berechnen kann, ob ein. Quadratische funktionen (parabel) der funktionsklassen.

Schnittpunkt berechnen - lineare und gemischt quadratische ...
Schnittpunkt berechnen - lineare und gemischt quadratische ... from i.ytimg.com. Klick hier um mehr zu erfahren!
Als letztes zum thema quadratische funktionen geht es um die schnittpunkte 2er parabeln und wie man berechnen kann, ob ein. Geben sie die koeffizienten beider funktionsgleichungen ein, danach berechnet das javascript die schnittpunkte und zeichnet die beiden graphen. Das gleichsetzen zweier funktionen ist der schlüssel zum schnittpunkte berechnen. Mathepower setzt sie gleich und berechnet so die schnittpunkte der funktionsgraphen. Wir setzen bei dieser quadratischen gleichung x = 0 und. Die graphen von zwei quadratischen funktionen können zwei, einen oder gar keinen schnittpunkt haben. Zur kontrolle berechnen wir sie: Die formeln werden nur mit aktiviertem javascript korrekt dargestellt.

Worauf du achten musst, um schnell und. Das gleichsetzen zweier funktionen ist der schlüssel zum schnittpunkte berechnen. Runde dabei auf zwei stellen nach dem komma. Lerne wie man schnittpunkte von linearen und quadratischen funktionen ablesen und berechnen kann. Als letztes zum thema quadratische funktionen geht es um die schnittpunkte 2er parabeln und wie man berechnen kann, ob ein. Schritt für schritt anleitung für leichtes verständnis. Die formeln werden nur mit aktiviertem javascript korrekt dargestellt. Mathepower setzt sie gleich und berechnet so die schnittpunkte der funktionsgraphen. Schnittpunkt von zwei quadratischen funktionen berechnen. Geben sie die koeffizienten beider funktionsgleichungen ein, danach berechnet das javascript die schnittpunkte und zeichnet die beiden graphen. Schnittpunkte von 2 parabeln, quadratische funktionen gleichsetzen wenn noch spezielle fragen sind Eine quadratische funktion (auch ganzrationale funktion zweiten grades) ist eine funktion, die als funktionsterm ein polynom vom grad 2 besitzt, also von der form. Berechne den schnittpunkt/ die schnittpunkte der folgenden quadratischen funktionen

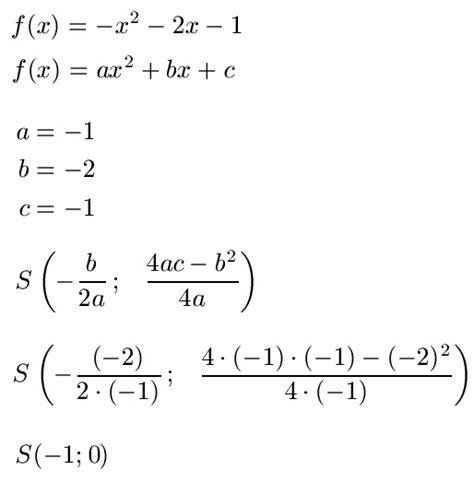
Diesen nennt man scheitelpunkt (oder kurz scheitel). Zur kontrolle berechnen wir sie: Schritt für schritt anleitung für leichtes verständnis. Die formeln werden nur mit aktiviertem javascript korrekt dargestellt. Zwei l¨osung√en der gleichung 2 (x − 1)2 − 3 = 0 ergeben sich sofort zu.

Schnittpunkte von 2 Parabeln berechnen !? | Mathelounge
Schnittpunkte von 2 Parabeln berechnen !? | Mathelounge from www.mathelounge.de. Klick hier um mehr zu erfahren!
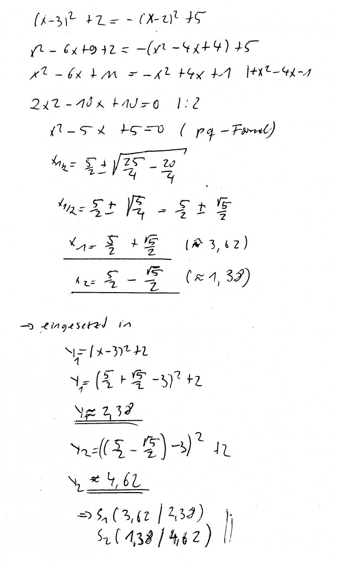
Wie berechnet man den schnittpunkt zwischen einer linearen und einer quadratischen funktion? Um die schnittpunkte der graphen zweier funktionen f und g zu bestimmen, setzt du die funktionsterme gleich und löst die entstandene gleichung nach x auf. Ergibt sich eine lineare funktion. Wähle die richtige länge unten aus. Diesen nennt man scheitelpunkt (oder kurz scheitel). Die graphen von zwei quadratischen funktionen können zwei, einen oder gar keinen schnittpunkt haben. Ich kann die schnittpunkte von quadratischen funktionen mit anderen funktionen berechnen. Berechne den schnittpunkt/ die schnittpunkte der folgenden quadratischen funktionen

Lerne wie man schnittpunkte von linearen und quadratischen funktionen ablesen und berechnen kann. Eine quadratische funktion (auch ganzrationale funktion zweiten grades) ist eine funktion, die als funktionsterm ein polynom vom grad 2 besitzt, also von der form. Gib hier zwei funktionen ein. Übungsaufgaben mit lösung und vid. Berechne zuerst die schnittpunkte und dann die länge des seils. Wir haben den schnittpunkt zweier geraden somit richtig berechnet mit den koordinaten. Die anzahl der nullstellen einer quadratischen funktion hängt von der lage der zugehörigen parabel ab. Eine reelle quadratische funktion ist eine reelle funktion, deren zuordnungsvorschrift vom. Schritt für schritt anleitung für leichtes verständnis. Schnittpunkt von zwei quadratischen funktionen berechnen. Diesen nennt man scheitelpunkt (oder kurz scheitel). Runde dabei auf zwei stellen nach dem komma. Parabel verschieben, parabel strecken und parabel stauchen.

Schnittpunkt von 2 funktionen bestimmen | mathe by daniel jung. Um die schnittpunkte der graphen zweier funktionen f und g zu bestimmen, setzt du die funktionsterme gleich und löst die entstandene gleichung nach x auf. Je nach dem wert der diskriminante gibt es zwei schnittpunkte, einen oder keinen schnittpunkt. Schnittpunkt von zwei quadratischen funktionen berechnen. Eine reelle quadratische funktion ist eine reelle funktion, deren zuordnungsvorschrift vom.

Lineare Funktionen - Steigungswinkel berechnen - Übung 4 ...
Lineare Funktionen - Steigungswinkel berechnen - Übung 4 ... from i.ytimg.com. Klick hier um mehr zu erfahren!
In diesem kapitel schauen wir uns an, wie man die nullstellen einer quadratischen funktion berechnet. Wähle die richtige länge unten aus. Schnittpunkte von 2 parabeln, quadratische funktionen gleichsetzen wenn noch spezielle fragen sind Eine quadratische funktion (auch ganzrationale funktion zweiten grades) ist eine funktion, die als funktionsterm ein polynom vom grad 2 besitzt, also von der form. Berechne zuerst die schnittpunkte und dann die länge des seils. Parabeln sind die graphen quadratischer funktionen im koordinatensystem. Mathepower setzt sie gleich und berechnet so die schnittpunkte der funktionsgraphen. Nullstelle einer linearen funktion berechnen.

Worauf du achten musst, um schnell und. Als letztes zum thema quadratische funktionen geht es um die schnittpunkte 2er parabeln und wie man berechnen kann, ob ein. Gib hier zwei funktionen ein. Lerne wie man schnittpunkte von linearen und quadratischen funktionen ablesen und berechnen kann. Wie du den schnittpunkt zwischen zwei linearen funktionen berechnest, zeigen wir dir hier in form einer allgemeinen schritt für schritt anleitung. Hier könnt ihr mit zwei aufgaben üben, oder euch einfach weitere beispiele. Die videos auf yt haben auch nichts gebracht. Runde dabei auf zwei stellen nach dem komma. Nullstelle einer linearen funktion berechnen. Berechne zuerst die schnittpunkte und dann die länge des seils. Wie berechnet man den schnittpunkt zwischen einer linearen und einer quadratischen funktion? Ist nicht nur für lineare funktionen, sondern auch für jede andere funktionsart (z.b. Schnittpunkte von 2 parabeln, quadratische funktionen gleichsetzen wenn noch spezielle fragen sind

Schnittpunkt Berechnen Quadratische Funktion: Schnittpunkte von 2 parabeln, quadratische funktionen gleichsetzen wenn noch spezielle fragen sind

0 comments:

Post a Comment

 
Top